Hard X-Ray Benchtop Absorption Fine Structure Spectrometer (RapidXAFS)
1) Highest Luminous Throughput Product
2) Excellent Stability
3) 1% Detection Limit
Core Benefits:
For a long time, X-ray absorption fine structure spectroscopy (XAFS) could only be tested on individual synchrotron radiation sources. Due to the limited time of the light source machine, it cannot meet the testing needs of many scientific researchers. In recent years, XAFS data has become the "standard" for top journals, resulting in more and more research groups needing XAFS testing. With XAFS in mind, the Institute of High Energy Physics of the Chinese Academy of Sciences and the University of Science and Technology of China have jointly launched a new X-ray Absorption Fine Structure Spectrometer (RapidXAFS).
Benefits:
| Multifunction: | Provide research-grade high-quality XAFS maps |
| Performance: | The 1% content sample test was completed within 1 hour |
| Energy Range: | 4.5-15 keV, scalable to 20 keV |
| High Luminous Flux: | >2,000,000 photons/sec@7~9 KeV |
| Test Elements: | XAFS testing in the implementation of 3D, 5D, Rare Earth Element Transition Metals |
| Ease of use: | Only half a day of training is required to get on the machine |
| Autonomous and controllable: | 90% of the components are autonomous and controllable, and there is no policy risk |
| Low maintenance costs: | There is no need for special personnel to maintain, operate, manage, etc |
RapidXAFS has the following features:
Highest luminous flux product
The photon flux is higher than 1,000,000 photons/s/eV-2,000,000 photons/s/eV, and the spectral acquisition efficiency is several times higher than that of other products, and the data quality is the same as that of synchrotron radiation
Excellent stability
The monochromatic light intensity stability of the light source is better than 0.1%, and the repeated acquisition energy drift is < 50 meV
1% detection limit
High luminous flux, excellent optical path optimization, and excellent light source stability ensure high-quality EXAFS data at >1% of the measured elemental content
Instrument principle
X-ray absorption fine structure (XAFS) is a powerful tool for studying the local atomic or electronic structure of materials, and is widely used in catalysis, energy, nanotechnology and other popular fields.
The main advantages are as follows:
It does not depend on the long-range ordered structure and can be used for the study of amorphous materials;
It is not interfered with by other elements, and different elements in the same material can be studied separately;
There is no damage to the sample, and the test can be carried out in the atmospheric environment;
It is not affected by the sample state, and can measure solids (crystals, powders), liquids (solutions, molten states) and gases.
Structural parameters such as coordination atomic type, coordination number and atomic spacing can be obtained, and the atomic spacing accuracy can reach 0.01A.

Kβ emission spectra data for Fe samples: core to core XES and valence to core XES
The XAFS spectrum consists of two main parts: the X-ray absorption near-edge structure (XANES) and the extended X-ray absorption fine structure (EXAFS). The energy range of EXAFS is about 50 eV to 1000 eV after the absorption edge, and is the result of the single-electron scattering effect of the inner photoelectrons excited by X-rays between the surrounding atoms and the absorbing atoms. XANES consists of a range of about 10 eV before the absorption edge to about 50 eV after the absorption edge, which is mainly due to the single-electron multiple scattering effect between the surrounding atoms and the absorbing atoms of the inner shell photoelectrons excited by X-rays.
Test data
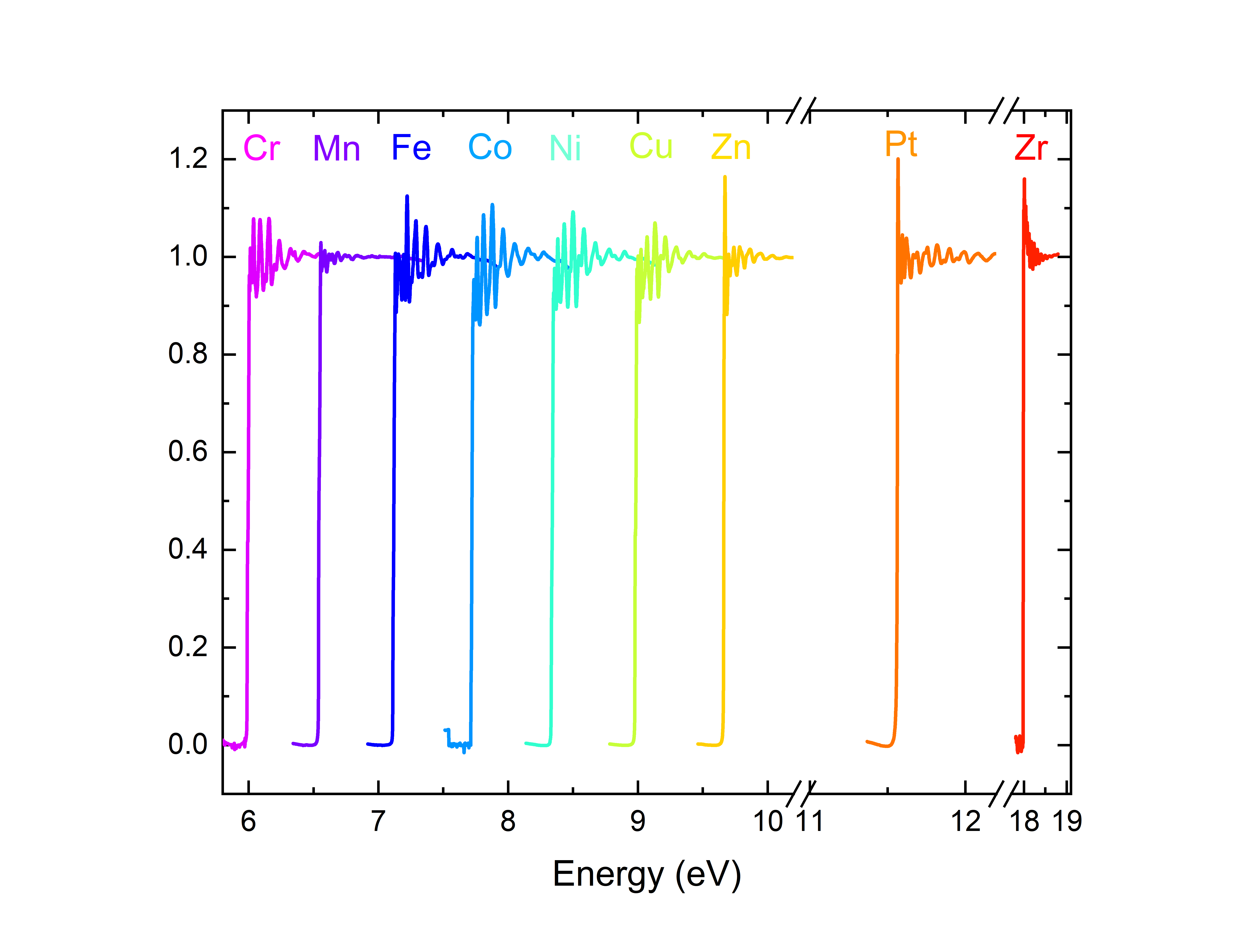
Foil EXAFS data
Actual sample data at low concentrations (0.5%)
Measurable elements: the green part can measure the K edge, and the yellow part can measure the L edge
Fields of application
XAFS Applications:
Industrial catalysis
Energy storage materials
Nanomaterials
Environmental toxicology
Also qualitative analysis
Heavy element analysis
Scan the QR code to follow to unlock more content











