Selection of the energy sweep step size
Selection of the energy sweep step size
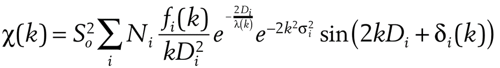
First of all, let's put the basic formula of EXAFS:
From this formula, we can clearly conclude that the absorption probability x(k) is a function of the electron wave number k, and many parameters on the right side of the formula are also functions of k, such as scattering factor, mean free path, phase shift, etc. So let's start by learning about the relationship between k and energy E.
Let's use the following cliché XAFS spectrum to illustrate.
This classic K-side absorption spectrum of Fe represents most XAFS plots, i.e., the relationship between the absorption coefficient and the photon energy, so it is important to understand the transition process from energy E to wave number k, and understanding this process can lead to some unexpected gains!E→k conversion formula:
In this formula, the wavenumber k is directly related to the kinetic energy of the electron. We will not repeat the origin of this formula here.
In Equation 1.1, Planck's constant h and electron mass me are both constants, and substituting these constants into them gives an approximate relationship between E and k:
Therefore, this simplified formula will quickly calculate the relationship between the two. Let's take a chestnut: if in the XAFS test, the energy is swept to 900 eV after the energy is swept to the absorption edge, then E-E0 = 800, so k can get 15, and after the energy is swept to the absorption edge at 400 eV, k can be taken to get 10. Haha, isn't it convenient?
Let's take another chestnut, this time as an example, let's take the XAFS spectrum of Fe foil as an example to give you a deeper impression of the fast calculation of k. As shown in the figure below, we use the red line to select the value, in the E space of the left figure, we select the value at 7600 eV, at this time, the k space is automatically positioned near k=11.3, and we know that the absorbed edge energy of Fe is 7112 eV, so you can substitute it into the simplified formula to check it, isn't it amazing?
请大家回忆一下,在线站测试的时候怎么确定数据的质量好坏?是不是导入到Athena软件中,选择k空间看看曲线是不是能够光滑的取到>10甚至>12的位置?是的,这也是一个最直接最通用的方法。那么从这大家也应该能感知到,EXAFS的处理其实是基于k空间进行,k空间的分辨率将直接决定数据后续傅里叶变换的质量。在数据测试的时候,我们其实面对的是能量空间,那么能量空间采集的步长该如何选择呢?
很简单,我们只需要定好Dk即k的每一步变化为0.5(或者别的数值)即可!下面我们开启数学狂躁症模式:
其中△E是指的能量空间的步长,我们将△k=0.5代入,就可以获得在每一个边后能量点应该选取多大的步长。此处不用担心每种元素的能量不一样的问题,因为根号里面是E-E0,是一个相对值,还是一个整体,可以理解为边后能量。
假设,边后50eV,那么E-E0=50,则△E=0.88 eV,即此时的步长应为0.88eV;边后400eV,步长则为2.5eV。是不是很清晰了,是否解决了大家心中的某些困惑:为什么线站上给定的扫描参数步长会随着能量变化呢?上述就是这一参数的数学起源!







